
Agenda
Ordinary Council Meeting
18 November 2019
The meeting commences at 6.30pm. If members of the public are
not interested in any business recommended to be considered in
Closed Session or there is no such business, Council will ordinarily
commence consideration of all other business at 7pm.

Notice of Meeting
Dear Councillors
Notice is given of the Ordinary Council Meeting, to be held in the Council Chambers, 48 Longueville Road Lane Cove on Monday 18 November 2019 commencing at 7:00pm. The business to be transacted at the meeting is included in this business paper.
Yours faithfully
Craig Wrightson
The Council meeting is chaired by the Mayor, Councillor Pam Palmer. Councillors are entitled to one vote on a matter. If votes are equal, the Chairperson has a second or casting vote. When a majority of Councillors vote in favour of a Motion it becomes a decision of the Council. Minutes of Council and Committee meetings are published on Council’s website www.lanecove.nsw.gov.au by 5pm on the Thursday following the meeting.
The Meeting is conducted in accordance with Council's Code of Meeting Practice. The order of business is listed in the Agenda on the next page. That order will be followed unless Council resolves to modify the order at the meeting. This may occur for example where the members of the public in attendance are interested in specific items on the agenda.
Members of the public may address the Council Meeting on any issue for a maximum of 3 minutes during the public forum which is held at the beginning of the meeting. To speak at a public forum you must register your details with Council by 5:00pm on the day of the Council meeting at which you will be speaking. All persons addressing the Meeting must speak to the Chair. Speakers and Councillors will not enter into general debate or ask questions.
If you do not understand any part of the information given above; require assistance to participate in the meeting due to a disability; or wish to obtain information in relation to Council, please contact Council’s Executive Manager – Corporate Services on (02) 9911 3550.
Please note meetings held in the Council Chambers are recorded on tape for the purposes of verifying the accuracy of minutes and the tapes are not disclosed to any third party under the Government Information (Public Access) Act 2009, except as allowed under section 18(1) or section 19(1) of the PPIP Act, or where Council is compelled to do so by court order, warrant or subpoena or by any other legislation.
Ordinary Council 18 November 2019
TABLE OF CONTENTS
APOLOGIES
OPENING OF MEETING WITH PRAYER
ACKNOWLEDGMENT TO COUNTRY
NOTICE OF WEBCASTING OF MEETING
MATTERS RECOMMENDED BY THE GENERAL MANAGER TO BE CONSIDERED IN CLOSED COMMITTEE
public forum
Members of the public may address the Council Meeting on any issue for 3 minutes.
CONFIRMATION OF MINUTES
1. ORDINARY COUNCIL MEETING - 21 OCTOBER 2019 AND EXTRAORDINARY MEETING OF COUNCIL – 4 NOVEMBER 2019
Mayoral Minutes
2. Mayoral Minute - St Leonards South Update November 2019................................................................................ 5
Orders Of The Day
Notices of Motion
3. TCORP Debt Financing............................................................... 15
Officer Reports for Determination
4. Presentation of Annual Financial Statements - Year Ended 30 June 2019 ..................................................................... 16
5. Council submission to Department of Planning on Greenwich Hospital Redevelopment.............................. 116
6. Village Traffic Changes - Coxs Lane / Finlayson / Birdwood ..................................................................................... 149
7. Further Report - Sale & Acquisition of Land - 15 Standish Street, Greenwich............................................... 153
8. Energy and Water Use Project Update........................ 155
9. Hunters Hill, Lane Cove, Parramatta, Ryde, Bushfire Risk Management Committee - Bushfire Risk Management Plan - 5 year plan......................................... 159
10. Planning Proposal 36 - 166 Epping Road, Lane Cove West................................................................................................ 216
11. Planning Proposal 37 - St Leonards Plaza Additional Permitted Use............................................................................. 243
12. New Pocket Park at 552 Mowbray Road - Djanaba Nura................................................................................................ 261
13. New Park at 69 Longueville Road - Cammeraygal Park................................................................................................ 265
14. Single-Use Plastic Bag Reduction Program............... 271
15. Customer Experience Strategy ....................................... 283
16. Delivery Program and Operational Plan - First Quarter Review......................................................................... 314
17. 1st Quarter Review of the 2019 - 2020 Budget............. 316
18. Lane Cove Council Annual Report 2018-19.................... 324
19. Schedule of Meetings 2020................................................... 500
20. Council Snapshot October 2019........................................ 501
Ordinary Council Meeting 18 November 2019
Mayoral Minute - St Leonards South Update November 2019
Subject: Mayoral Minute - St Leonards South Update November 2019
Record No: SU5943 - 68219/19
Division: Lane Cove Council
Author(s): Councillor Pam Palmer
Background
Council placed its draft Planning Proposal for St Leonards South (‘SLS’) on exhibition from 30th October 2017.
Council subsequently deferred finalisation of its draft Planning Proposal in February 2018 given the imminent release of the State Government’s plan for the greater St Leonards/Crows Nest precinct, titled the St Leonards and Crows Nest 2036 Plan (‘2036 Plan’).
The 2036 Plan inter alia recommended referral of the SLS Plan to the Independent Planning Commission (‘IPC’) for review. The IPC’s report was released in July 2019.
Council resolved at its August Meeting to write to the Department of Planning, Industry and Environment requesting that it lead a strategic review based on the IPC’s findings.
Council noted at its September Meeting that once the review is complete, depending on the scale of change, community consultation would then be undertaken. At the conclusion of the consultation process Council will be in a position to consider such amendments in the finalisation of the Planning Proposal.
At its October Meeting, Council noted that the Department of Planning, Industry and Environment was developing the Terms of Reference and the Timetable for its strategic review.
Strategic Review
Council received and published the Terms of Reference (AT-1) for the Department of Planning, Industry and Environment’s strategic review of the St Leonards South (SLS) Planning Proposal. The review involved a Charette (where experts were gathered to review the scheme) which was conducted on 11 November, 2019.
I note that the community’s submissions received in response to the public exhibition of Council’s draft Planning Proposal were provided to the IPC. The community also made personal representations to the IPC.
All of this was considered by the IPC in the advice they provided to the Minister for Planning, Industry and Environment.
The Charette, a strategic review by a panel of experts, now responds to the IPC advice and was not another consultation forum.
Once the review is complete, depending on the scale of change, community consultation would then be undertaken. At the conclusion of the consultation process Council will be in a position to consider such amendments in the finalisation of the SLS Planning Proposal.
Moratorium and Evaluation of Planning Proposals
The review by the Sydney North Planning Panel of the two developer-led Planning Proposals within the area was undertaken on Wednesday 6 November 2019. No decision has been published by the SNPP at this stage. Further information is available on the Planning Proposals section of Council’s website.
Council also received a response (AT-2) to its request for a restriction on developer or landowner−initiated planning proposals in the area. It states: -
“Resolving Council's St Leonards South planning proposal will provide a clear direction to consider the other planning proposals. It would be an appropriate outcome if the other planning proposals were no longer considered necessary and the landowners had confidence to withdraw their requests in response to achieving progress in Council's proposal.
Any future planning proposals need to give consideration for the vision and guiding principles within the draft St Leonards and Crows Nest 2036 Plan.”
St Leonards Over Rail Plaza
To facilitate the construction of Council’s proposed St Leonards Plaza open space, a report is being considered at this Council meeting to make “Recreation Area’ permissible within the rail corridor. This is necessary as the current zoning for the rail corridor is Special Purpose (SP-2 Railway), which does not allow its use for Open Space. If Council adopts the recommendation, a Planning Proposal for the rezoning will go forward to the Department of Planning for consideration under the Gateway process.
|
That the Mayoral Minute be received and noted.
|
Councillor Pam Palmer
Mayor
|
AT‑1View |
Letter from the Department of Planning |
2 Pages |
|
|
AT‑2View |
Terms of Reference |
2 Pages |
|
Ordinary Council Meeting 18 November 2019
TCORP Debt Financing
Record No: SU785 - 68286/19
Division: Lane Cove Council
Author(s): Councillor Scott Bennison; Councillor David Brooks-Horn
TCORP is offering funding for infrastructure loans at historical low interest rates.
Lane Cove Council has been fortunate to not have to rely on debt to provide infrastructure to its residents.
In fact, during the amalgamation process we were criticised for not having any debt.
Lane Cove Council’s successful model has relied upon putting the profits from completed infrastructure projects into new infrastructure projects thereby avoiding the need for borrowings.
However, given the low interest rate funding being offered by TCORP it may be advantageous that Council acquires funding to advance future planned infrastructure projects.
I believe that Council should undertake some due diligence and investigate the financial viability ability of acquiring funding in a low interest rate environment from TCORP to advance planned infrastructure projects.
|
That the General Manager undertake initial due diligence with respect to acquiring funding from TCORP to advance future planned infrastructure projects and that a report come back to Council with the following information:-
1) details of funding being offered by TCORP including, interest rates, fixed/variable, terms and other information considered by the General Manager necessary for Councillors to make an informed decision; and
2) Details of future infrastructure projects that the General Manager considers appropriate for consideration of TCORP funding. |
Councillor Scott Bennison
Councillor
Councillor David Brooks-Horn
Councillor
There are no supporting documents for this report.
Ordinary Council Meeting 18 November 2019
Presentation of Annual Financial Statements - Year Ended 30 June 2019
Subject: Presentation of Annual Financial Statements - Year Ended 30 June 2019
Record No: SU772 - 64439/19
Division: Corporate Services Division
Author(s): Sarah Seaman
Executive Summary
Following completion of the audit, Council’s Annual Financial Statements for the year ended 30 June 2019 and the Auditors Report, are presented to Council. It is recommended that the report be received.
Discussion
Section 418 of the Local Government Act 1993, requires that as soon as practicable after a council receives a copy of the auditor’s reports:-
a) It must fix a date for the meeting at which it proposes to present its audited financial reports, together with the auditor’s reports, to the public; and
b) It must give public notice of the date so fixed.
The audit of the Annual Financial Statements for the year ended 30 June 2019 has been completed by Council’s Auditors – Audit Office of NSW, and a copy of their Audit Report is included with the Financial Statements.
The 2019 draft audited Financial Statements were presented to the Internal Audit Committee on 11 November 2019, together with the External Audit Engagement Closing Report.
Notice was given in the North Shore Times on 31 October 2019 of the intention to present the Annual Financial Statements at this meeting. The Statements have been available for inspection at the Civic Centre since 29 October 2019. Written submissions were invited and at the time of writing this report, no submissions had been received. The audited financial statements, together with the auditor’s reports, are now formally presented to Council.
Council’s overall financial result for the for the year was a surplus of $60.5M. This includes one off capital revenue for St Leonards VPA.
Council’s Auditor will be in attendance at the meeting to present the Auditor’s Report. A Copy of the Annual Financial Statements for the year ended 30 June 2019 are attached at AT-1.
Conclusion
The results reflect Council’s ongoing strong financial position established and maintained over several years. Once again Council significantly exceeded industry benchmarks used in the Fit for the Future program, except the debt service cover ratio as Council has no borrowing.
|
That Council receive and note the Annual Financial Reports together with the Auditors Report for the year ended 30 June 2019.
|
Jessica Quilty
Acting Executive Manager
Corporate Services Division
|
AT‑1View |
Annual Financial Statements for the Year Ended 30 June 2019 |
98 Pages |
|
Ordinary Council Meeting 18 November 2019
Council submission to Department of Planning on Greenwich Hospital Redevelopment
Subject: Council submission to Department of Planning on Greenwich Hospital Redevelopment
Record No: SU7340 - 68000/19
Division: Environmental Services Division
Author(s): Christopher Shortt
EXECUTIVE SUMMARRY
The Minister for Planning is the Consent Authority for the proposed Greenwich Hospital re-development. Following an initial round of consultation, written submissions on this revised State Significant Development proposal will be accepted until Thursday 21 November 2019.
The original proposal was modified to address concerns relating to loss of trees, impact on Pallister House and its curtilage. Council welcomes these changes, but ultimately Council cannot support the proposal as it proposes Seniors Living Accommodation which is not permitted within the SP2 zone.
BACKGROUND
The Original Proposal:
The original proposed development was for the redevelopment of Greenwich Hospital complex in stages and included:
· 150 place hospital health care facility with a mix of inpatient hospital beds, palliative care beds and residential aged care beds;
· Inpatient and outpatient support services and areas necessary to provide a modern, attractive health facility consistent with HammondCare’s high standard of care;
· Seniors living units associated with the hospital style campus model that includes approximately:
ס 6-storey high seniors living apartment buildings - containing 80 new seniors living units addressing River Road;
ס 1-2 storey high seniors living units (villas)- 9 villas addressing St Vincents Road;
ס Pallister House would be retained, refurbished and continue to fulfil hospital functions as part of the campus; and
ס Onsite parking in accordance with code requirements. Including 2 levels of basement parking.
· The proposed hospital building adopts a podium-tower typology that is articulated into three faceted wings. The form of the building aims to address the site’s topography and reduce the appearance of bulk and scale whilst still achieving optimum organizational layouts for hospital use. The podium levels provide circulation, servicing, administration and landscaping; and
· The hospital, health facilities and low-rise dementia care precinct would have capacity to accommodate inpatient hospital beds, palliative care beds, residential care beds and outpatient services.
The demolition of the majority of the existing buildings and structures on site (excluding Pallister House which would be retained in its current form) is proposed to accommodate the proposed redevelopment of Greenwich Hospital campus. Demolition would be staged to allow the hospital and associated facilities to continue functioning.
Council’s previous submission dated 5 April 2019 raised a number of concerns with the concept plan proposed redevelopment of the Greenwich Hospital. A general overview of the agreed/requested amendments are listed below:
· Seniors Living Accommodation component is not permitted within the zone under the Lane Cove Local Environmental Plan 2009. The SP2 Zone only permits Health Service Facilities. The Seniors Living element should be removed from the development or at least significantly reduced to be clearly ancillary to the primary medical use;
· The proposal would result in an unacceptable loss of tree canopy and is contrary to Planning priority N19 of the North District Plan; and
· Although the expansion of the hospital use is supported in principle, the physical bulk of the hospital building is not supported. The perceived bulk of the maximum 9-storey hospital building is recommended to be reduced by increasing the distance of the building from the heritage item and stepping back the south west facade at each floor level to reduce the massing and visual dominance of the building.
Further information was also required to be submitted to allow a more comprehensive understanding of the issues. This included:
· Revised Aboricultural information;
· Details of HammondCare Affordable Housing model;
· Stormwater Management Plan;
· Erosion and Sedimentation control Plan;
· Additional photomontages to demonstrate the visibility of the proposal from the harbour;
· Construction Noise Management Plan;
· Waste Management Plan;
· Stage 2 Contamination Report;
· Hydrological Survey;
· Confirmation all apartments and villas are accessible in accordance with AS1428.1; and
· Confirmation the apartment buildings comply with the Apartment Design Guide.
AMENDMENTS TO ORIGINAL DESIGN:
In response to the matters raised in the submissions including Lane Cove Council, the Department of Planning and other state government agencies, community groups and the public, the following changes to the design are now proposed
General changes:
· Overall reduction of GFA (from 28,300sqm to 25,500sqm) and FSR (from 0.84:1 to 0.81:1);
· Increase in deep soil planting of 15% (from 12,000sqm to 13,800sqm);
· Floor space of health services increased to be greater than the seniors living uses from 14,400sqm (52.7% of total GFA) to 13,000sqm (47.3% of total GFA);
Hospital:
· reduction of building footprint to allow retainment of additional trees. The western end of the hospital is reduced in scale, now partially single- storey and concealed beneath a landscaped terrace to improve sightlines to Palister House from River Road.
· Lower section of hospital now includes a 2 - 3 storey projecting built form intended to relate more strongly to the scale of Palister House
· The geometry of the south side of the hospital has been redesigned to better relate to Palister house and its heritage curtilage.
· The hospital basement carpark footprint has been reconfigured to allow greater separation from Palister House. In particular the section of carparking within the curtilage to be removed to allow for more planting within the landscape.
Seniors living:
· Deletion of the nine (9) seniors living villas proposed in the bushland area adjacent to the St Vincent’s road frontage;
· Reallocation of the gross floor area (GFA) from the villas to other areas across the site including a respite care facility to be located towards the St Vincent’s Road end of the site;
· Changes to proposed building envelopes including reduction of height of seniors living building;
· Modification to building envelopes to allow greater sightlines to Pallister House from River Road;
· The northern seniors building envelope has been reduced at its western end to step down to the neighbouring residential buildings;
· Amended landscaping design/plan to improve ‘gardenesque’ landscape setting adjacent to Pallister House to allow appropriate separation to enhance the curtilage of the heritage listed building.
Respite Care facility:
· Three proposed seniors living villas (1600sqm) have been removed and replaced with a new respite care facility (700sqm) that is to be located further from the driveway and St Vincent’s Road.
Landscape:
· A period garden around Palister House is proposed to contribute to heritage curtilage;
· The former bridle path is to be interpreted as a pedestrian footpath that would run from River Road to St Vincent’s Road allowing public access through the heritage landscape of Pallister House.
ASSESSMENT:
Council has reviewed the proposed development and provides the following comments for the consideration of the consent authority.
1. Zoning.
Council’s maintains its original position that the proposed ‘seniors living’ element is prohibited in the SP2 zone.
It is noted that the total floor area allocated for seniors living accommodation has been reduced in the amended design from 14,400sqm (52.7% of total GFA) to 13,000sqm (47.3% of total GFA). Regardless of this reduction, any residential use for senior’s accommodation is prohibited in the SP2 zone and is not supported. Fundamentally Council supports the extension to the hospital and views the proposed seniors living component as being an impediment to the intended uses of the site as a hospital.
The applicant is proposing and justifying the senior’s living component under the SEPP (housing for Seniors or People with a Disability) 2004.
The subject site is zoned SP2 Infrastructure in accordance with Lane Cove Local Environmental Plan 2009.
Permitted with consent:
The purpose shown on the Land Zoning Map, including any development that is ordinarily incidental or ancillary to development for that purpose; Roads; Signage
The purpose shown on the Land Zoning Map is SP2 Health Services Facilities. Health Services Facilities are defined as a building or place used to provide medical or other services relating to the maintenance or improvement of health, or the restoration to health, of persons or the prevention of disease in or treatment of injury to persons.
Council supports the continued use of the site for health and hospital services. The services outlined by HammondCare including palliative care, rehabilitation, mental health care for older persons, pain management, among others, fall within the permitted uses of a health service facility.
The only type of accommodation that could be considered as Health Service Facilities use is accommodation for staff (resident doctors, nurses and health care workers) which is a related use. This accommodation is ordinarily ancillary to the primary use as Health Service Facilities.
The Seniors housing (apartments) are a form of residential accommodation and are not permitted as Health Services Facilities.
Seniors housing (apartments) are not a permissible use within the zone under Lane Cove Local Environmental Plan 2009.
The objectives of the SP2 Health Services Facility zone include:
(1) To provide for infrastructure and related uses.
(2) To prevent development that is not compatible with or that may detract from the provision of infrastructure.
Seniors housing is contrary to the zoning objectives of SP2 Infrastructure.
The proposed Seniors living accommodation is not classified as medical infrastructure or a related use. Seniors living accommodation is not compatible with the intended use as Greenwich Hospital and would compromise the ability of the site to extend the provision of medical infrastructure related services in the future.
Although prohibited in the Lane Cove LEP, Seniors Living may be permitted under the State Environmental Planning Policy SEPP (Housing for Seniors or People with a Disability) 2004.
Council acknowledges the need for Seniors living facilities. The projected demographics of the area are characterized by an aging population. The 2016 census confirmed that 13.7% of the population within the Lane Cove LGA were aged 65 years and over. The percentage of residents over 65 is only predicted to rise in the short to medium term.
Despite these demographic trends, only appropriate sites should be utilized for Seniors living accommodation. Seniors living accommodation has been supported at locations where the use is permissible within the zone.
Below is a list of existing, approved and potential Seniors accommodation located in proximity to the site. There are a number of different housing options which provide Seniors living facilities within the Lane Cove Local Government Area.
· 6 Ulonga Avenue Greenwich. The Baytree By Ardency Retirement Village;
· 33 Greenwich Road Greenwich. Site approved for change of use to a residential aged care facility;
· 2 Central Avenue Lane Cove. Pottery Gardens non-profit retirement units;
· 40A Cope Street Lane Cove. Caroline Chisholm Retirement Village;
· 15 Figtree Street Lane Cove. Uniting Church Residential Aged Care;
· 274 – 274A Longueville Road and 4 -18 Northwood Road Lane Cove. A residential aged care facility. The original proposal was rejected by Council, and the submission of a modified design is anticipated;
· 92 Burns Bay Road Lane Cove. Northcott Gardens non-profit retirement units;
· 155 Longueville Road Lane Cove. Uniting Church Retirement Village; and
· 266 Longueville Road Lane Cove. Seniors living currently under consideration by the Sydney North Planning Panel.
The re-development for Seniors housing (apartments) would restrict future expansion of Health Services Facilities which would be required to meet the needs of the community. Therefore, permitting these prohibited uses would not be in the public interest as they would compromise the site’s primary intended use as a health services facility.
2. Greater Sydney Commission, North District Plan.
The North District Plan was developed by the Greater Sydney Commission as part of an integrated 20-year regional strategy to manage growth, and also enhance livability, productivity, and sustainability into the future. The sustainability section of the plan provides a framework to promote the lowering of carbon emissions and mitigate the impacts of climate change.
Planning priority N19 of the North District Plan promotes Increasing urban tree canopy cover and delivering green grid connections. The NSW Government has set a target through the North District Plan to increase urban tree canopy cover across Greater Sydney to 40 percent.
The eastern part of the site, along St Vincents Rd contains a large number of remnant indigenous trees, with Angophora costata (Sydney Red Gum), Eucalyptus pilularis (Blackbutt) and Eucalyptus resinifera (Red Mahogany) as canopy species as well as a number of understorey tree species. There are numerous sandstone rock outcrops in the vicinity. These trees are species naturally occurring in the area and are either remnants of the original forest cover or regenerating natural vegetation. These trees individually and as a group are considered to be significant trees under Council’s DCP Part J.
The removal of the proposed seniors living villas along the eastern part of the site would significantly increase the amount of trees to be retained. The retainment of 211 trees and planting of 60 additional trees would result in an overall net increase of 5 canopy trees.
In light of the above, the amended proposal is considered to sufficiently address the directives of the North District Plan and is supported by Council.
3. Arborist Report / Biodiversity Report.
The original design proposed to protect 104 of the 235 trees on the site (44% of all trees to be retained).
The resubmitted arborist report considered a larger number of trees. It considered 297 trees, including 254 within the site, 1 boundary tree and 8 trees within neighboring properties and 34 trees on River Road. The amended design which removes the villa accommodation would retain/protect 211 trees (71% of all trees being retained)
The applicants also propose to plant a minimum of 60 new trees and confirm that a total net increase of at least 5 trees across the site would be achieved.
As per the original report, the number of trees proposed to be retained, outlined in the Tree Protection Plan (section 14.5 and 14.6), are still potentially subject to development impacts. In particular the TPZ setback required for the trees may be greater than the structural root zone. As a result additional trees may be required for removal depending on setbacks when detailed plans are available.
Council welcomes the revised design to accommodate an increased tree population on the site. The deletion of the villas in the bushland area adjacent to the St Vincent’s road frontage will significantly increase the amount if trees to be retained. The revised design combined with the trees to be planted would result in a total net increase of trees on site.
4. Bushland Adjoining Site.
The site is classified as Land adjacent to Bushland under the State Environmental Planning Policy 19 Bushland in Urban Areas. The southwest corner of the site adjoins a public reserve related to Gore Creek.
The proposal is subject to an assessment against Lane Cove DCP Part H Bushland Protection.
In response to submissions the applicant has stated that the development would be setback at least 10m from the bushland at the south-eastern corner of the site.
The DCP recommends new buildings and structures to be designed and orientated to ensure reasonable sun access is maintained to adjoining bushland throughout the year.
The applicant has confirmed that the proposal would not result in significant additional shadow as the shadow of the proposed building envelope falls largely within the existing shadow caused by the site’s steep topography and existing built form. The minimum 10m setback from the southeastern corner is also considered acceptable.
5. Heritage.
Pallister House is a two-storey brick, slate roofed Italianate villa constructed in 1892 which is listed on the State Heritage Register as an item of State significance.
In the original submission Council raised concerns about the bulk of the hospital building in context to Palister House and its heritage curtilage.
In response the following changes were made to the design:
· The lower section of hospital now includes a 2 - 3 storey projecting built form intended to relate more strongly to the scale of Palister House;
· The geometry of the south side of the hospital has been redesigned to try to relate better Palister house and its heritage curtilage;
· The western end of the hospital was reduced in scale, now partially single storey and concealed beneath a landscaped terrace to improve sightlines to Palister House from River Road; and
· The hospital basement carpark footprint has been reconfigured to allow greater separation from Palister House. In particular the section of carparking within the curtilage been removed to allow for more planting within the landscape.
The changes to the hospital building are considered to significantly improve the relationship between the hospital building and Pallister House. The modifications to facilitate the necessary upgrades to the hospital will not compromise the heritage fabric of the Pallister House and associated curtilage.
6. SEPP (Housing for Seniors or People with a Disability) 2004.
The Seniors housing (apartments) components are prohibited under the Lane Cove LEP 2009, but are proposed as permitted under the Seniors Living State Environmental Planning Policy (SEPP).
The proposal is considered to be contrary with Clause 33 of the SEPP. The bulk and scale of the apartment buildings are considered incompatible with surrounding development.
Clause 33 (c)(iii) of the Policy states:
(iii) adopting building heights at the street frontage that are compatible in scale with adjacent development,
Land zoned within the vicinity of the proposed development is R2 Low Density Residential with majority 1 and 2 storey dwellings houses. North of the site on River Road is Greenwich Public School which is approved for 3 storey buildings on site.
The proposed Seniors housing (apartments) would be 6-storeys and not in keeping with the scale and the adjacent development.
The bulk and massing of Seniors Living apartments would be highly visible from the public way.
Although a compatibility certificate is not explicitly required to be submitted under Clause 24 (1) (a) (ii) of the SEPP, it is noted that a number of the key considerations in Clause 25 as to whether a proposed development is compatible are relevant in relation to Greenwich Hospital.
It is recommended that the provisions and assessment criteria of compatibility of the development with surrounding uses as specified in Clause 25 (5) (b) should be considered by the consent authority when assessing the concept plan. These include:
· (ii) ‘the impact that the proposed development is likely to have on the uses that, in the opinion of the relevant panel, are likely to be future uses of the land’
As mentioned earlier, concerns are raised by Council that the proposed independent Seniors living component may inhibit and compromise the future use of the site for medical uses.
· (v) ‘…the impact that the bulk, scale, built form and character of the proposed development is likely to have on existing uses, approved uses and future uses of the land in the vicinity to the development’
Given that there are no height controls on site, the proposed development should be viewed in context to the surrounding built form on and adjoining the site. Concerns are raised that the proposed scale of the Seniors living buildings and hospital would dominate Pallister and is not in keeping with the low scale of residential development surrounding the site.
7. SREP Sydney Regional Environmental Plan (Sydney Harbour Catchment 2005)
And Sydney Harbour Foreshores & Waterways Area DCP.
The site is located within the Sydney Harbour Catchment area and is therefore subject to the provisions of the SREP and the DCP.
Clause 3.4 landscape character type 9 of the DCP requires any development within this landscape… it is sited and designed to maintain the vegetation cover on the upper slopes and ridgelines.
Council raised concerns that application proposes the removal of a significant number of canopy trees alongside new 6-storey Seniors living apartment buildings and the maximum 9-storey upgraded hospital building. There is no information on the increased visual prominence potentially along the ridgeline when viewed from Northwood Peninsula and Onions Point Woolwich among others. The applicant is recommended to submit a photo montage to demonstrate how visible the proposal would be when viewed from the southern side of the Lane Cove River.
In response the applicant provided a landscape character and visual impact assessment report. The analysis was based on 13 selected view points including along a number of points along River Road, Bob Campbell Oval, Gore Creek Reserve, Cliff Road, Ffrench Street. It is noted that the view analysis did no extend across to the southern side of Lane Cove River as requested.
8. Environmental Health.
The applicant would need to provide a detailed Stage 2 Contamination Report.
The applicants submitted a revision to the Detailed Site Investigation (DSI) that concluded that the potential risks associate with widespread subsurface contamination at the site are low, however localised risks associated with total recoverable hydrocarbons (TRH) in soil and residual contamination associated with the underground storage tank should be further assessed and remediated accordingly. The DSI considered that the site can be made suitable for the proposed development subject to draft recommendations.
The applicant states that that a Stage 2 Contamination Report is not required at concept stage. Will be submitted at detailed design application.
9. Access.
Council requested confirmation all apartments are accessible in accordance with AS1428.1
In response the applicant submitted which confirmed that at Concept SSD stage of design, the development can provide appropriate accessibility for the project and would satisfy Clause 26 of the SEPP (Housing for seniors or people with a disability) 2004.
10. Amenity of Seniors living Apartment buildings.
Although the residential components are not supported by Council, Seniors apartment buildings may be permitted under the Seniors Living State Environmental Planning Policy (SEPP). Should approval be granted by the Consent Authority (Minister for Planning), compliance with the SEPP 65 and the Apartment Design Guide is required.
Revised ADG Table: Council requested confirmation that the apartment buildings comply with the Apartment Design Guide.
The applicant submitted a revised ADG compliance table was submitted and revealed that:
(i) the apartments comply with minimum solar access and cross ventilation requirements;
(ii) all habitable and non-habitable rooms comply with minimum floor to ceiling heights;
(iii) all apartments comply with minimum apartment size (minimum internal area in sqm);
(iv) the site complies with the minimum required amount of communal open space, deep soil and visual privacy;
(v) The application proposes a maximum of 9 apartments off a circulation core on a single level. This exceeds the control which permits a maximum of 8 apartments.
Although not supported, if approved by the Department of Planning, the amenity of the seniors living apartments is considered capable of complying with the relevant requirements.
11. Traffic Noise.
Council requested an acoustic report to address noise impacts of traffic.
Applicant states that a Traffic Noise Report is not required at concept stage and would be submitted at detailed design application.
12. Details of HammondCare Affordable Housing model.
While Council does not support the imposition of residential development on the hospital site outside that permitted in the SP2 Infrastructure zone, if supported by the Consent Authority, the design should ensure compliance with affordable housing provisions of the SEPP Seniors Living. Council requested that that HammondCare submit further information to allow better understanding of their affordable housing model to demonstrate compliance with the below clause:
Clause 45 (6)(a)(ii) of the SEPP Seniors Living states:
at least 10% of the dwellings for the accommodation of residents in the proposed development will be affordable places,
HammondCare states that Clause 45(6) of SEPP Seniors only requires affordable places if the proposal seeks bonus FSR through the ‘vertical village’ provisions of the SEPP. As the application does not rely on Clause 45 of the SEPP, this clause does not apply. Notwithstanding Hammondcare is a registered charity which specialises in providing health care services to the elderly and those that are financially disadvantaged
(i) 45% of aged care patients are low income or disadvantaged
(ii) 50% of inpatients and outpatients are public patients; and
(iii) 15% of seniors living residents benefit from affordable options.
Contrary to the above justification by HammondCare that compliance with the SEPP is not required, Council recommends that the development comply with the SEPP and accommodate a minimum of 10% of all dwellings provide affordable housing.
13. Stormwater Management Plan.
The applicants submitted a Preliminary Flood Study which concluded that overland flows from upstream catchments would continue to be conveyed around the site as per the existing and mitigation measures would not be required for the development.
Applicant states that a Stormwater Management Plan is not required at concept stage and would be submitted at detailed design application.
14. Erosion and Sedimentation Control Plan.
The applicant would need to provide an erosion and sedimentation control plan.
Applicant states that an Erosion and Sedimentation Control Plan is not required at concept stage and would be submitted at detailed design application.
16. Construction Noise Management Plan.
The applicant would need to provide Construction Noise Management Plan (CNMP).
Applicant states that this documentation is not required at concept stage and would be submitted at detailed design application.
17. Waste Management Plan.
The applicant would need to provide a Waste Management Plan
Applicant states that a Waste Management Plan is not required at concept stage and would be submitted at detailed design application.
18. Hydrological Survey.
The applicant would need to provide a Hydrological Survey.
Applicant states that this documentation is not required at concept stage and would be submitted at detailed design application.
CONCLUSION
The applicant has considered comments and concerns raised by Council and others modified and aspects of the proposal to address Council’s concerns.
Council acknowledges and supports the removal of the Seniors Living villas as it would result in a significant increase in the total trees being retained on the site. In comparison to the original proposal, the revised design is considered to be in accordance with Councils environmental sustainability objectives and the policy and the directives of the North District Plan.
Council appreciates and acknowledges proposed changes to the hospital building which better relate to the Pallister House building and its curtilage. The reduction in bulk to the western side of the hospital and more considered approach to the geometry on the south side would result in a superior and sympathetic outcome. It also improves sight lines to Pallister House from the primary Street frontage on River Road to allow the heritage item to be more visible from the public way.
Despite the positive amendments to the overall design, Council does not support the proposed residential use in the SP2 zone which is prohibited.
Under Council’s Local Environmental Plan, the land is zoned for Health Service Facilities. The proposed development provides for seniors housing which but for the provision of the SEPP, is not permissible and does not meet the objectives of the zone. In this regard the proposed Seniors Living units and Villas are not supported by Council.
The proposal is recommended to be modified to consist of Health Service Facilities only.
Council acknowledges the need for Seniors living facilities. But considers the subject site inappropriate for this use.
The proposed multi-storey residential buildings development would not be consistent with the R2 Low Density Residential one and two stories development within the vicinity which would not be consistent with the provisions of State Environmental Planning Policy (Housing for Seniors or People with a Disability) 2004.
As stated in the original submission, however Council is supportive in principle, of a proposal for the re-development of the existing Hospital and expansion to allow additional health care facilities.
|
That Council prepare a submission to the Consent Authority (Department of Planning) advising of the above issues and concerns in particular:-
a) Council does not support the Seniors living units and villas component of the proposal and as such should be deleted from the consent proposal; and
b) Council advise the Department of Planning, that should it determine in favour of the application, the conditions included in AT-2 should be imposed.
|
Michael Mason
Executive Manager
Environmental Services Division
|
AT‑1View |
3D Site View - Updated and Original Scheme |
2 Pages |
|
|
AT‑2View |
Draft Conditions of Consent |
20 Pages |
|
Ordinary Council Meeting 18 November 2019
Village Traffic Changes - Coxs Lane / Finlayson / Birdwood
Subject: Village Traffic Changes - Coxs Lane / Finlayson / Birdwood
Record No: SU1326 - 65934/19
Division: Open Space and Urban Services Division
Author(s): Sashika Perera
Executive Summary
This report provides an update on the traffic changes in Coxs Lane, Finlayson Street and Birdwood Avenue adopted by Council in 2017. All changes are of track for implementation, however, it is recommended Council not proceed with the construction of indented parking bays in Coxs Lane at this time, and a review be undertaken of the effectiveness of all the changes post the opening of The Canopy development in June 2020.
Background
Due to The Canopy development, new developments within and in close proximity to the Village and the general background traffic growth, it was identified in 2017 that traffic needs to be managed differently in the Village, in particular to deter through traffic from passing through the village.
In May 2017, Council resolved that several traffic and parking changes be implemented to coincide with the opening of The Canopy car park, which is due to open in early December 2019. The following diagram shows the proposed changes

Discussion
The following provides the current status of each of the adopted changes: -
|
|
Proposal |
Recommendation/status |
|
1 |
The signalisation of Burns Bay Road/ Tambourine Bay Road/ Coxs Lane proceed and Council undertake the detailed design including for submission to the RMS for approval; |
SIDRA modelling completed, RMS supportive, detail design submitted to RMS network operations for approval. Tender for work undertaken but not awarded pending RMS final approval. |
|
2 |
The full closure of Sutherland Street at Coxs Lane intersection proceed and Council undertake the detailed design for submission to the RMS for approval; |
Consultation to occur on the proposed cul-de-sac configuration to allow finalisation of the closure. Traffic Management Plan for the closure completed and submitted to RMS for approval. |
|
3 |
Three (3) months after the implementation of Parts 1 and 2 above, Council undertake a survey of traffic flow in Graham Street to determine if parking should be restricted to one side of Graham Street; |
Approved by Traffic Committee, monitoring to occur first quarter 2020. |
|
4 |
Indented parking bays be constructed on the eastern side of Coxs Lane with 2P;7am-7pm and ‘No Parking’ restrictions to be implemented on the western side of Coxs Lane between Finlayson and Birdwood Avenue, to coincide with the opening of the new Rosenthal car park; |
Approved by Traffic Committee, under review, see discussion in the report. |
|
5 |
Subject to an appropriate design being developed, a roundabout be constructed on the corner of Finlayson Street and Coxs Lane, to coincide with the opening of the new Rosenthal car park; |
Approved by Traffic Committee. Works to be undertaken in January/February 2020 once temporary construction detours are no longer required. |
|
6 |
‘No Parking’ restrictions be implemented on both sides of Coxs Lane between Finlayson Street and Sutherland Street, to coincide with the opening of the new Rosenthal car park; |
Approved by Traffic Committee, affected properties notified, changes to be implemented in December 2019. |
|
7 |
Council to undertake traffic counts on Coxs Lane between Finlayson Street and Sutherland Street following the implementation of proposals 1 and 2 to determine if traffic calming devices are required; |
Approved by Traffic Committee, monitoring to occur throughout 2020. |
|
8 |
‘No Parking’ restrictions be implemented both sides of Finlayson Street between Rosenthal Avenue and Coxs Lane, to coincide with the opening of the new Rosenthal car park; |
Approved by Traffic Committee, affected properties notified, changes to be implemented in December 2019. |
|
9 |
Council work with the RMS to signalise the intersection of Epping Road/ Coxs Lane to facilitate a right hand turn onto Epping Road. |
Ongoing |
Item 4, relates to parking in Cox’s Lane and the recommendation proposed in 2017 was for the road pavement to be widened or full-time parking restrictions implemented on both sides between Finlayson Street and Birdwood Avenue to maintain two-way traffic flow.
Council consulted the wider community at the time as follows:-
1. Letterbox drop – approximately 1,050 letters delivered to the area;
2. E-newsletter – 6,400 recipients;
3. Survey via Council website;
4. Community information evening at the Council chamber – 15 March 2017;
5. A number of on-site meetings with the local residents;
6. Advertisement to North Shore Times; and
7. Information published at the Civic Centre and the libraries.
In relation to Item 4 the following two options were proposed:-
• Option A – Retain existing road width and remove on-street parking (6.5m kerb to kerb)
• Option B – Widen the street by three metres on the eastern side (8.3m kerb to kerb and 1.2m footpath). Indented parking bays are proposed on the eastern side
Council received 263 responses, the majority (55%) supported Option B. Council ultimately determined that indented parking bays be constructed, and parking be restricted to one side of Coxs Lane between Finlayson and Birdwood Avenue, and the land located at the north-eastern corner of Coxs Lane/ Finlayson Street (17-21 Finlayson Street) be acquired to facilitate the indented parking bays;
As part of the development consent for 2-22 Birdwood Avenue, a three metre setback along the Coxs Lane frontage was dedicated to Council. A concept design was developed where seven indented parking bays are proposed along the Coxs Lane frontage of 2-22 Birdwood Avenue.
Whilst there is a setback of three metres along the Coxs Lane frontage of 17-21 Finlayson Street, the land has not been dedicated to Council. The Body Corporate of 17-21 Finlayson Street were approached by Council to acquire the land to accommodate another five indented parking bays along the Coxs Lane frontage.
The property owners were not in favour of selling the land to Council as they value the green space it provides. Council understands that view is shared by the body corporate of 2-22 Birdwood Avenue. While Council could proceed to compulsorily acquire the land from 17-21 Finlayson Street, this process is both time consuming and expensive.
Given the views of the property owners, Council has three options:-
· Option 1 –‘No Stopping’ be implemented on both sides of Coxs Lane between Finlayson Street and Birdwood Avenue; with no replacement parking
· Option 2 – Construct seven indented parking bays on the eastern side of Coxs Lane along the frontage of 2-22 Birdwood Avenue only;
· Option 3 – Construct 12 indented parking bays on the eastern side of Coxs Lane between Finlayson Street and Birdwood Avenue where Council must compulsory acquire the land along the Coxs Lane frontage of 17-21 Birdwood Avenue.
Given the number of changes being implemented simultaneously, it is recommended Council initially proceed with Option 1, and Council review any further changes required once The Canopy development opens in June 2020 by no later than November 2020.
|
That:-
1. Council receive and note the report;
2. No Stopping’ be implemented on both sides of Coxs Lane between Finlayson Street and Birdwood Avenue; with no replacement parking; and
3. Council review the impacts and need for any further changes once The Canopy development opens in June 2020 by no later than November 2020. |
Martin Terescenko
Executive Manager - Open Space and Urban Services
Open Space and Urban Services Division
There are no supporting documents for this report.
Ordinary Council Meeting 18 November 2019
Further Report - Sale & Acquisition of Land - 15 Standish Street, Greenwich
Subject: Further Report - Sale & Acquisition of Land - 15 Standish Street, Greenwich
Record No: SU3021 - 68391/19
Division: General Managers Unit
Author(s): David Stevens; Craig Wrightson
Executive Summary
This is a further report on the proposal to vary the Deed of Agreement for Road Closure and Voluntary Sale and Acquisition of Land adjoining Lot 2 DP 1128693, 15 Standish St, Greenwich.
Council entered into a Deed of Agreement in February 2014 to formally close part of Standish Street, Greenwich and sell part of the land (284 m2 known as Lot 201 – in exchange for ‘Area A’, for annexation to Gore Creek Reserve (Reserve).
As a result of changes to statutory instruments and requirements of the Rural Fire Service that were not envisaged in the original Deed, this report will recommend a variation to the Deed which amends the location of the portion of land for annexation to the Reserve (Area B) and the agreed compensation to be paid by the adjoining Lot Owner for the amount of $18,000.
Background
Council at its meeting of 21 October 2019 considered a report in relation to the Deed of Agreement for Road Closure and Voluntary Sale and Acquisition of Land adjoining Lot 2 DP 1128693, 15 Standish Street, Greenwich. Council resolved that the matter be deferred to a Councillor Workshop. The site is shown in the following Figure

Discussion
The proposal was presented to the Councillor Workshop held on 11 November, 2019. The following key issues were clarified: -
· The land swap (Area B) is the same area as the previously proposed Lot A, plus or minus 10 metres.
· Area B, the land now proposed to be transferred is immediately adjacent to Council owned bushland and is therefore preferred to Area A which is isolated.
· Area A is to be maintained by the Lot Owner as an APZ to the existing dwelling and road reserve as it provided for fire protection.
· The property is not located in a designated 10/50 vegetation clearing entitlement area therefore, any removal of vegetation in Area A would require Council approval.
· The current land size is 2135 sqm, with the min lot size or subdivision 550sqm, the additional land will not provide additional development rights.
Conclusion
In summary, this proposal involves the formal closure of an unused portion of Standish Street, Greenwich and subsequent transfer of the that portion to the adjoining Lot Owner. In turn, the Lot Owner will transfer Area B to Council with the Lot Owner to pay Council $18,000.00 for the transaction.
|
That Council:-
1. Agree to the variation in the Deed in respect of the Road Closure and Voluntary Sale and Acquisition of land in Standish Street, Greenwich;
2. Grant the necessary easement(s)for the existing aerial service wires to meet the requirements of Ausgrid;
3. Agree to compensation payable by the landowner to Council in the amount of $18,000;
4. Enter into a Contract for the sale of Lot 201 and agree to the transfer of Area “B” to Council; and
5. Authority be granted to the Mayor and General Manager to affix the Common Seal to the sale contract and any necessary associated documentation to complete the Deed for the transaction.
|
Craig Wrightson
General Manager
General Managers Unit
There are no supporting documents for this report.
Ordinary Council Meeting 18 November 2019
Energy and Water Use Project Update
Subject: Energy and Water Use Project Update
Record No: SU7238 - 66314/19
Division: Environmental Services Division
Author(s): Fiona McCleary
Executive Summary
At the Ordinary Meeting of 16 September 2019, Council requested that a report be prepared for the November 2019 meeting that outlines the carbon and water use baseline research findings, and provide recommendations on the future management of both energy and water consumption in Council owned buildings, and throughout the LGA.
Council has been working with Sustainability Consultants, Kinesis, since August 2019 to gather data and assess the challenges and opportunities in setting and meeting emissions and water use targets. The baseline year has been set at 2016/17 and the target year as 2036. This report outlines the data trends as a basis to investigate opportunities in these areas ahead of providing a detailed report in March 2020 which will outline strategies and actions to achieve emissions targets which will be:-
• Based on robust and transparent data;
• Responsive to what Council can affect; and
• Linked to a measurable tracking and monitoring framework.
Background
At its September 2019 meeting Council resolved that:-
“A report come back to Council in November 2019 on the review currently being conducted by a Sustainability Consultancy to establish a carbon and water use baseline per capita/dwelling and aspirational targets for both community and corporate (Council) emissions and water use”.
The research findings to date have shaped early emissions and water reduction recommendations, ahead of a more detailed report due early 2020, which will outline targets for consideration and specific strategies to reach them.
Discussion
This project leverages analysis already undertaken, and Council internal knowledge. Council has been tracking greenhouse gas emissions, waste data and water consumption across its operations, with detailed reports and benchmarking against Council’s 10 highest consuming facilities, dating back to 2005. Additional data has been sourced from the Greater Sydney Commission, utility providers, the Australian PV Institute, ABS Census 2016 and TfNSW, amongst others. Access to this data means that Kinesis are incorporating the latest dwelling, population, job and floor space projections to understand the expected growth in emissions from new developments. Council has also established a working group, made up of key internal stakeholders, who are working alongside consultants to help guide development of strategies and actions.
Council emissions and water use
One of the key findings from the data analysis is that Council’s operations contribute less than 2% of the total emissions of the Lane Cove LGA. In the baseline year of 2016/17 Council generated 5,229 Tonnes of Co2, while the remainder of the LGA generated 279,000 tonnes.
Council first introduced the Sustainability Levy to address climate change in 2006. Over the time Council has implemented a range of best practice sustainability measures across our assets which has resulted in a reduction in emissions by 28% since 2015, despite an increasing population and increase in the number and scale of Council’s facilities (refer to Table 1).

Table 1. Councils electricity consumption, population growth and facilities expansion 2006-2019
Across Council owned assets, the Aquatic Centre is the highest energy user, creating 34% of all energy emissions and using 49% of water.
Council has seized the opportunity presented with the outdoor pool replacement to implement energy savings through the use of sustainable design and development. New sustainability measures for both the grandstand and marshaling area include a significant solar installation. The latest technology pool filters are expected to result in substantial energy savings due to reduced heat loss and lower re-heat costs. Also, it is anticipated that the new pool will generate water savings with a new and efficient plumbing system.
Street lighting is Council’s second highest energy user, creating 26% of all Council emissions. In August 2019 the Lighting the Way project began in Lane Cove with 1162 street lights being replaced with energy efficient LED lights, which will significantly reduce Council’s emissions. The program continues to roll out across the LGA with more than 57% of lights already completed. This has resulted in a 17,551kWh reduction in emissions between August and September 2019, which is equivalent to powering the Creative Arts Studio for six months.
The sustainability measures for the pool and the street lighting project will be factored into emissions and water use targets.
The Sustainability Consultants are researching additional measures to maximise emission reductions which will be the subject of a report to Council in March 2020.
Residential and non-residential energy and water use
With the residential and non-residential sectors making up 98% of emissions across the LGA, engaging these sectors would be critical if lower emissions and water use is to be achieved.
In the baseline year of 2016/17, this sector generated 279,000 tonnes of Co2 emissions.
The residential sector generated 55% of emissions. Within the residential sector, 59% of emissions came from electricity, followed by 27% from transport, 9% from gas and 5% from waste.
The non-residential sector generated 45% of emissions. Within this sector, 79% of emissions came from electricity, 18% from transport and 3% from gas (commercial waste data is not available).
Early recommendations being evaluated for residential and non-residential include:
· Prioritising engagement with large asset owners that have significant roof space to benefit from renewable energy. Schools in particular provide a significant opportunity as they own multiple assets, have large roof space and dependable, daytime energy loads;
· Seek to raise policy issues at a State level with the Department of Planning and Environment to set locally specific performance standards for new residential and non-residential developments (for example increasing BASIX pre-commitments through Council’s Local Environment Plan and Development Control Plan);
· Develop a strategy to conserve water and encourage water sensitive urban design;
· Identify and develop opportunities to increase access to electric vehicle infrastructure.
The research is evaluating emissions and water use by suburb and per capita to ensure recommendations are relevant and tailored to each area.
Conclusion
Council operations contribute only 2% of the total emissions of the Lane Cove LGA. Yet, Council can seek to take a leadership position by implementing sustainability measures within its operations and engaging with the broader community.
Whilst Council is well placed to have a direct and positive influence on the community, the State and Federal government also play a crucial role in responding to the Climate Emergency. By raising awareness, supporting projects and collaborating with all stakeholders in our community, Council can foster change and grow commitment to a sustainable climate.
|
That the report be received and noted.
|
Michael Mason
Executive Manager
Environmental Services Division
There are no supporting documents for this report.
Ordinary Council Meeting 18 November 2019
Hunters Hill, Lane Cove, Parramatta, Ryde, Bushfire Risk Management Committee - Bushfire Risk Management Plan - 5 year plan
Subject: Hunters Hill, Lane Cove, Parramatta, Ryde, Bushfire Risk Management Committee - Bushfire Risk Management Plan - 5 year plan
Record No: SU5576 - 66537/19
Division: Open Space and Urban Services Division
Author(s): Jeff Culleton
Executive Summary
The purpose of this report is to advise on the implementation of the 2019/20 Bushfire Risk Management Plan (BFRMP). Before a BFRMP can be endorsed by the NSW Bushfire Coordinating Committee, the plan must be available for public review for no less than 42 days. This report recommends that the draft BFRMP be on public display.
Background
The Bushfire Risk Management Plan for Hunters Hill, Lane Cove, Parramatta and Ryde Councils was prepared by the Bushfire Management Committee in conjunction with the NSW Rural Fire Service. The aim of the plan was to identify the assets at risk and prioritise hazard reduction works over the following 5 years. Hazard reduction works include hazard reduction burns as well as manual hazard reduction works undertaken as part of the Bush Regeneration Program.
This Bushfire Risk Management Plan (BFRMP) has been prepared by the Hunters Hill, Lane Cove, Parramatta, Ryde Bushfire Management Committee (BFMC) pursuant to section 52 of the Rural Fires Act 1997.
The aim of this BFRMP is to reduce the adverse impact of bushfires on life property and the environment.
The Objectives of this BFRMP are to:
- Reduce the number of human induced bushfire ignitions that cause damage to life, property or the environment
- Manage fuel to reduce the spread and intensity of bushfires while minimizing environmental/ ecological impacts
- Reduce the community’s vulnerability to bush fires by improving its preparedness; and effectively contain fires with a potential to cause damage to life property and environment.
Discussion
The Bushfire Risk Management Plan (BFRMP) was prepared by the Bushfire Management Committee (BFMC) in conjunction with the NSW RFS, Fire and Rescue. The draft plan is to be placed on public exhibition for 42 days from 19th November to 30th December 2019.
Under the Rural Fires Act 1997 this plan must be reviewed and updated within each successive five-year period following the constitution of the BFMC. The Hunters Hill, Lane Cove, Parramatta, Ryde BFMC will also review this plan as necessary. This may be triggered by a range of circumstances, including but not limited to:
- Changes to the BFMC area, organizational responsibilities or legislation
- Changes to the bushfire risk in the area or
- Following a major fire event.
This BFRMP identifies the assets that are considered by the Hunters Hill, Lane Cove, Parramatta, Ryde BFMC and community to be at risk from bushfires, assesses the bushfire risk to each asset and assigns treatments designed to mitigate the risk. Assets in the BFMC area identified as requiring treatments are listed in the assets table (refer to Appendix 2 asset register). Other assets within the BFMC area that were assessed as not requiring treatments within the life of this plan are listed in the appendix to the BFRMP document. The Map Ref number “NA” denotes non-spatial assets (refer to Appendix 4 Maps Display Area Map 2).
Specific treatments assigned to assets in the Hunters Hill, Lane Cove Parramatta, Ryde area are listed in the treatments table (refer to Appendix 3 Treatment Register) and linked to the assets which they are designed to protect. Standard BFMC wide treatments (i.e. not linked to specific asset) which occur on an ongoing basis within the BFMC area are:
- Reviewing the bushfire prone land map.
- Ensuring developments in the bush fire prone land comply with Planning for bushfire protection
- Using the Local Environment Plan/s (LEPs) to control development in areas which a bushfire risk
- Varying the standard bushfire danger period as required
- Requiring permits during bushfire danger periods
- Prosecution of arsonists/offenders
- Investigation of bushfire cause
- Normal fire suppression activities
- Assessing and managing compliance with strategic fire fighting resource allocation management systems
- Preparation of a S52 Operations Coordination Plan.
The Rural Fire Service identifies the need for Asset Protection Zones (APZ’s) in Lane Cove bushland reserves on a case by case basis. The RFS advises Council of requirements for individual APZ’s and Council staff undertake the necessary on-ground works, including long term maintenance works. Hazard reduction clearing in Council’s bushland reserves is carried out by Council staff and contractors as required as part of the ongoing bush regeneration program.
Community Consultation
Statement of Intent
The consultation is designed to inform the community of the Bush Fire Risk Management Plan 2019/20. Any comments received will be reviewed and evaluated to determine whether any revisions are required to the plan prior to adoption.
Method
|
Level of Participation |
Inform |
|
Form of Participation |
Open |
|
Target Audience |
Lane Cove Community |
|
Proposed Medium |
Public Exhibition, Council Website and email.
|
|
Indicative Timing |
19th November – 30th December 2019 |
|
That:-
1. Council endorse the draft BFRMP 2019/20 for the purpose of public exhibition and consultation be undertaken for a period of 42 days as outlined in the report and; 2. A further report is submitted to Council following the exhibition period, to consider the final plan for adoption.
|
Martin Terescenko
Executive Manager - Open Space and Urban Services
Open Space and Urban Services Division
|
AT‑1View |
Draft Bush Fire Risk Management Plan 2019 - 2024 |
54 Pages |
|
Ordinary Council Meeting 18 November 2019
Planning Proposal 36 - 166 Epping Road, Lane Cove West
Subject: Planning Proposal 36 - 166 Epping Road, Lane Cove West
Record No: SU7607 - 63699/19
Division: Environmental Services Division
Author(s): Lara Fusco; Christopher Pelcz
Executive Summary
On 30 August 2019, Council received Planning Proposal 36 from Ingham Planning Pty Ltd to amend the Lane Cove Local Environmental Plan 2009 (LCLEP2009) to rezone land located at 166 Epping Road, Lane Cove West, from IN2 TO B4 Mixed Use.
A Voluntary Planning Agreement (VPA) letter of offer was also submitted. However, Council’s policy is that any VPA be assessed separately at a later stage to ensure that any Planning Proposal is considered on its own merits.
The Proposal was referred to the Lane Cove Local Planning Panel (LCLPP) for advice on the 7 November 2019. In accordance with Section 9.1 of the EP & A Act, staff prepared an assessment report with recommendations in relation to the Planning Proposal including whether or not the proposal should be forwarded to the Minister for a Gateway Determination. The Panel was requested to review and consider relevant issues and amendments proposed by the proponent along with the views and concerns raised in the staff report (AT-1).
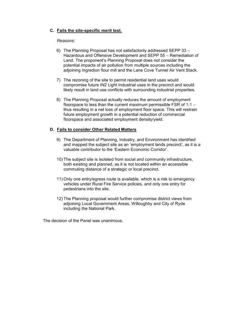
The LCLPP advises that Planning Proposal No 36 is not supported and should not proceed to the Gateway Determination.
It is recommended that Planning Proposal No. 36 be rejected and not be forwarded to the Minister for a Gateway Determination. Having regard to the advice of the Lane Cove Local Planning Panel (AT-2).
Background
The Site
The subject site at 166 Epping Road, Lane Cove West comprises 1 parcel of land with a total area of approximately 9,128 m2 (approximately 0.91 ha) and is outlined in red in Figure 1. The site forms part of the Lane Cove West Light Industrial area.
The existing development comprises a 3-storey commercial building above 2 levels of partial basement parking and is a lawful commercial use operating under existing use rights. The lot is owned by Epic Doncaster Ltd and is currently occupied by multiple commercial tenancies.
Existing access to the site is available for private vehicles and pedestrians from Epping Road, or alternatively via a private road which may be accessed off of Sam Johnson Way. The site adjoins Epping Road (M2) along the north-western boundary.
Adjoining development to the north of the site the Ingredion flour mill at 170 Epping Road, and to the south-western boundary is the Arise Meriton residential tower development at 150-158 Epping Road. The adjoining uses to the north of the site are analogous with the light industrial zoning.
Adjoining the subject site to the east is the Lane Cove Bushwalk and public pedestrian network including the Great Northern Walk.

Figure 1: The subject site, 166 Epping Road, is highlighted in red
(Source: Nearmaps, 2019).
The Proposal for PP36
The proponent seeks to:
· Rezone the site from IN2 Light Industrial to B4 Mixed Use;
· Increase the FSR from 1:1 to 4:1; and
· Increase the maximum height of building from 18m (5 storeys) to 87m (24 storeys).
The proposed mixed-use development would result in:
· Two (2) residential towers comprising a South and North tower, twenty-one (21) storeys and fourteen (14) storeys respectively, above the three (3) storey commercial podium. The towers have a maximum of 750 m2 of residential GFA per floor and include private landscaped areas and communal rooftop open spaces. The indicative dwelling mix for the proposed 316 apartments in both towers is approximately:
o 30% - 1 bedroom,
o 46% - 2 bedroom, and
o 24% - 3 bedroom.
· The three (3) storey employment base podium would comprise of multiple commercial and retail tenancies;
· Five (5) levels of basement car parking with 512 allocated parking spaces for the residential and commercial uses;
· Vehicular access into basement parking is via an existing right of carriage way. The proposal also includes a deceleration lane along Epping Road to access the site; and
· A public plaza and landscaped outdoor open space areas with east-west site pedestrian walkways (connecting to the proposed elevated canopy walkway and walking trails along Lane Cove Bushwalk as part of a VPA).
Discussion
Referral to Local Planning Panel
Planning Proposal 36 for and industrial site at 166 Epping Road was referred for advice to the Lane Cove Local Planning Panel, under Clause 9.1 of the EP&A Act 1979. The Panel was requested to review and consider issues and amendments proposed by the proponent along with the views and concerns raised in a staff report (AT-1).
The Report to the Lane Cove Planning Panel examines the detailed provisions of the proponent’s Planning Proposal against the strategic and site-specific merit test as well as other relevant matters. The discussion is contained within this report (see AT-1).
In general terms, the matters for consideration that are addressed are:-
· Strategic Merit test;
· Inconsistency with Section 3.8 (Implementation of Strategic Plans) of the NSW Environmental Planning & Assessment Act 1979;
· Site-specific merit test;
· Other related matters, including
o The site’s designation as ‘Employment lands’,
o Isolation from social and community infrastructure (existing and proposed),
o Not located within an accessible commuting distance of a strategic or local centre,
o Lack of appropriate entry/egress routes,
o Impacts on district views from adjoining Local Government Areas.
At the meeting, Council staff provided a broad overview of Planning Proposal 36. The proponent addressed the Panel.
Following this, the Panel deliberated and provided their considered advice in the form of recommendations and reasons for their decision, see AT-2. The LPP concurred with the staff’s assessment report and advised that Planning Proposal No 36 is not supported and should not proceed to the Gateway Determination.
Advice to Council
In providing their advice to Council (see AT-2), the Panel (LCLPP) unanimously supported the findings in staff’s report and provided the following additional commentary:
The Panel does not accept the applicant’s position that the existing rights enjoyed by the site for commercial use justify rezoning the site from IN2 Light Industry to B4 Mixed Use. To the contrary, the Panel considers that the opportunity cost of rezoning the land must be considered in the planning and economic context of the medium and longer term.
The current use of the site for commercial purposes does not overcome the powerful strategic imperatives of the adopted Regional and local strategies. In particular, the proposal conflicts with Action 46 of the North District Plan which acknowledges “the need to retain and manage industrial and urban services land and prevent the conversion of land to residential development, including mixed use zonings”.
It is acknowledged that, in their submission to the Panel, the Proponent offered to retain the quantum of floor space available for commercial use in any new mixed development. However, the Panel considers that the use of such floorspace would be heavily constrained by the B4 zone and the existence of residential apartments above.
It is also relevant to note that the Lane Cove LGA has exceeded its residential targets for 2020 and will continue to do so based on approvals issued and future developments which are in the pipeline. It is therefore considered that there is no demand for additional residential land within the LGA in the foreseeable future.
The Panel considers that it has not been demonstrated that the loss of industrial land is warranted for the LGA or Region in a strategic planning context.
In addition to the lack of strategic merit, the Panel notes that the site is constrained by limited access, bushfire hazard, potential contamination and the existence of heritage items adjacent to the site.
Conclusion
In conclusion, the proponent’s planning proposal is not consistent with the Strategic and Site-specific merit tests, as well as additional economic, social, and traffic considerations raised by the Proposal.
Having regard to the above, it is recommended that Planning Proposal No 36 not be supported and not proceed to the Gateway Determination.
|
That having considered the advice of the Lane Cove Local Planning Panel meeting of 7 November 2019, Council rejects Planning Proposal No. 36 in full and such not be forwarded to the Minister for a Gateway Determination, as it:-
A. Fails the strategic merit test.
Reasons:
1) The Planning Proposal is not consistent with Objective 23 (and Action 11) of the Greater Sydney Commission’s, ‘A Metropolis of Three Cities’ which is to preserve and manage industrial and urban services land.
2) The Planning Proposal is not consistent with the following aspects of the North District Plan:
a) Planning Priority N11 which is to retain and manage industrial & urban services land.
b) Principles for managing industrial and urban services land.
c) Action 46 which is to retain and manage industrial and urban services land and preventing conversion of the land to residential development, including mixed use zonings.
3) The Planning Proposal is not consistent with objectives 8 and 21 of the Lane Cove Community Strategic Plan (LCCSP), as the proposal is not consistent with the community priorities and actions for housing supply and retention of commercial land.
4) The Planning Proposal is not consistent with Planning Priorities 3, 5 and 7 of the Draft Lane Cove Local Strategic Planning Statement (DLSPS). The site is not identified as a strategic precinct, nor is it considered an appropriate area for housing.
The Lane Cove West employment lands are specifically identified in the DLSPS to be protected and managed for industrial and commercial land uses.
5) Given that the strategic planning documents (i.e. A Metropolis of Three Cities and North District Plan) identify this site as an area for employment growth (existing and proposed), the existing planning controls are considered appropriate.
B. Inconsistent with Section 3.8 of the Environmental Planning and Assessment Act
Reason
This section of the Act deals with the ‘Implementation of Strategic Plans’ which requires all Planning Proposals to ‘give effect’ to any applicable district strategic plan.
Given the direct inconsistency with Planning Priority N11 and Action 46 of the North District Plan, dated March 2018, the Planning Proposal does not ‘give effect’ to the North District Plan.
C. Fails the site-specific merit test.
Reasons:
6) The Planning Proposal has not satisfactorily addressed SEPP 33 – Hazardous and Offensive Development and SEPP 55 – Remediation of Land. The proponent’s Planning Proposal does not consider the potential impacts of air pollution from multiple sources including the adjoining Ingredion flour mill and the Lane Cove Tunnel Air Vent Stack.
7) The rezoning of the site to permit residential land uses would compromise future IN2 Light Industrial uses in the precinct and would likely result in land use conflicts with surrounding industrial properties.
8) The Planning Proposal actually reduces the amount of employment floorspace to less than the current maximum permissible FSR of 1:1 – thus resulting in a net loss of employment floor space. This will restrain future employment growth in a potential reduction of commercial floorspace and associated employment density/yield.
D. Fails to consider Other Related Matters
9) The Department of Planning, Industry, and Environment has identified and mapped the subject site as an ‘employment lands precinct’, as it is a valuable contributor to the ‘Eastern Economic Corridor’.
10) The subject site is isolated from social and community infrastructure, both existing and planned, as it is not located within an accessible commuting distance of a strategic or local precinct.
11) Only one entry/egress route is available, which is a risk to emergency vehicles under Rural Fire Service policies, and only one entry for pedestrians into the site.
12) The Planning proposal would further compromise district views from adjoining Local Government Areas, Willoughby and City of Ryde including the National Park.
E. That Council notify the applicant of its decision in writing as soon as practicable.
|
Michael Mason
Executive Manager
Environmental Services Division
|
AT‑1View |
Report to Local Planning Panel - 166 Epping Road Planning Proposal - 7 November 2019 |
18 Pages |
|
|
AT‑2View |
Advice from Local Planning Panel - 166 Epping Road Planning Proposal - 7 November 2019 |
3 Pages |
|
|
AT‑3View |
Planning Proposal Report |
51 Pages |
Available Electronically |
|
AT‑4View |
Site Survey Plan |
1 Page |
Available Electronically |
|
AT‑5View |
Urban Design Study |
89 Pages |
Available Electronically |
|
AT‑6View |
Concept Design |
83 Pages |
Available Electronically |
|
AT‑7View |
Traffic and Parking Impact Assessment |
55 Pages |
Available Electronically |
|
AT‑8View |
Economic Impact Assessment |
42 Pages |
Available Electronically |
|
AT‑9View |
Bushfire Constraints and Opportunities Report |
25 Pages |
Available Electronically |
Ordinary Council Meeting 18 November 2019
Planning Proposal 37 - St Leonards Plaza Additional Permitted Use
Subject: Planning Proposal 37 - St Leonards Plaza Additional Permitted Use
Record No: SU7691 - 63704/19
Division: Environmental Services Division
Author(s): Terry Tredrea; Lara Fusco; Christopher Pelcz
Executive Summary
The purpose of this report is to consider the planning merits and provide advice on a planning proposal to amend Lane Cove Local Environmental Plan 2009 (LCLEP 2009) to include Recreation Area as an additional permitted use in the SP2-zoned land along the rail line at St Leonards.
Given the minor ‘housekeeping’ nature of the amendment, Planning Proposal 37 does not require supporting documentation or studies.
Planning Proposal 37 was referred to the Lane Cove Local Planning Panel (LCLPP) for advice on the 7 November 2019. In accordance with Section 9.1 of the EP & A Act, staff prepared an assessment report setting out recommendations in relation to the Planning Proposal including whether or not the proposal should be forwarded to the Minister for a Gateway Determination. The Panel was requested to review and consider relevant issues and amendments proposed by the proponent along with the views and concerns raised in the staff report (AT-2).
The LCLPP advises that Planning Proposal No 37 is supported and should proceed to the Gateway Determination.
It is therefore recommended that Planning Proposal No.37 be supported in full and be forwarded to the Minister for a Gateway Determination. This is consistent with advice from the Lane Cove Local Planning Panel (AT-3).
Background
The site
The site is situated within the Lane Cove Local Government Area (LGA) adjacent to the boundary of the Willoughby LGA roughly 5km from Sydney CBD.
The site is within close proximity to the St Leonards Station which is located immediately to the north of the site (see figure below).

Figure 1: The site
The site subject for this proposal is the North Shore Railway Line at St Leonards. It is located on the southern side of the Pacific Highway across from the St Leonards Railway Station and the Forum mixed use development.
Proposal
The Planning Proposal seeks to amend Schedule 1 of the Lane Cove Local Environmental Plan. This will introduce a site-specific additional permitted use (Recreation Area), without development consent.
Overall, the Proposal would not result in any change to existing planning controls for the site near its surrounding zonings.
The intent of the Planning Proposal is to facilitate development of the site for the Over-Rail plaza which has been in Council’s plans since 2011. The proposed plaza development would include construction of the deck across the air space about the rail corridor and associated works.
Discussion
Referral to Local Planning Panel
Planning Proposal 37 was referred for advice to the Lane Cove Local Planning Panel, under Clause 9.1 of the EP&A Act 1979. The Panel was requested to review and consider issues and amendments proposed by the proponent along with the views and concerns raised in a staff report (AT-2).
The Report to the Lane Cove Planning Panel examines the detailed provisions of the proponent’s Planning Proposal against the strategic and site-specific merit test as well as other relevant matters. All of the discussion is contained within this report (see AT-2).
In general terms, the matters for consideration that are addressed are:-
· Strategic Merit test; and
· Site-specific merit test.
At the meeting, Council staff provided a broad overview of Planning Proposal 37 and suggested that the Draft Planning Proposal’s clause for Schedule 1 be amended to the following:-
Use of certain land being the North Shore Line on the southern side of Pacific Highway at St Leonards
1. This clause applies to land known as Part Lot 1 DP 127019, being the North Shore Rail line on the southern side of Pacific Highway, bound by Canberra Avenue and Lithgow Street.
2. Development for the purposes of a Recreation Area is permissible without consent.
Following this, the Panel deliberated on the PPs and provided their considered advice in the form of recommendations and reasons for their decision, see AT-3. The LPP concurs with staff’s recommendations, and advises that Planning Proposal No 37 is supported and should proceed to the Gateway Determination.
Advice to Council
In providing their advice to Council (see AT-3), the Panel unanimously supported the findings in staff’s report. The Panel also added the following commentary:
The Panel notes that this planning proposal will facilitate the provision of high quality open space within the airspace above the rail corridor by permitting development for the purposes of a recreation area on the site.
The Panel considers that the project is an outstanding example of innovation in planning for community facilities which may also have relevance to similar localities in other local government areas. As Sydney’s population continues to grow with increasing density around transport nodes, the opportunities to provide local open space become far more challenging.
Lane Cove Council is to be commended for this innovative approach to providing high quality open space in a precinct where there is no opportunity for additional land to be reserved for public purposes.
The Panel supports the planning proposal with the amendment (as provided to the Panel) to include the site within Schedule 1 of Lane Cove LEP 2009 to permit development for the purposes of a recreation area without consent.
Conclusion
Planning Proposal 37 is consistent with the Strategic and Site-specific merit test and the recommendations of the St Leonards/Crows Nest Draft 2036 Plan.
Having regard to the above, the Lane Cove Local Planning Panel, at its 7 November 2019 meeting, recommended that Planning Proposal 37 be supported (with its amendments) and that it proceed to Gateway Determination. It is recommended that Council adopt the recommendations of the Panel in full.
|
That having considered the advice from the Lane Cove Local Planning Panel meeting of 7 November 2019, Council supports the amended Planning Proposal No. 37 in full and be forwarded to the Minister for a Gateway Determination, as it is:-
A. Consistent with the Strategic Merit test
Reasons
1) The Planning Proposal is consistent with Objective 31 and 32 of A Metropolis of Three Cities, as it will provide new high quality open space in the area which will interconnect with other green links being provided around the site.
2) The Planning Proposal is consistent with the site-specific Action 34 of the North District Plan, as it will enable a development pathway to deliver this high quality open space to the St Leonards precinct – thus achieving the Actions intent.
3) The Planning Proposal is consistent with the Place and Landscape Recommendations of the St Leonards/Crows Nest Draft 2036 Plan for the area.
4) The Proposal is consistent with the priorities and actions of all of Council’s strategic planning documents (i.e. Draft Local Strategic Planning Statement, Delivery Program and Operational Plan).
5) The Planning Proposal also implements the recommendations of previous strategies relevant to the area (i.e. St Leonards Strategy 2006).
B. Consistent with the Site-Specific Merit test
Reasons
6) Delivery of the Over-rail plaza will not impact upon any likely future uses surrounding the area.
7) Proposed construction is unlikely to impact on the infrastructure and ongoing operation of the St Leonards Railway Line.
C. Council forward Planning Proposal 37 to NSW Department of Planning, Industry and Environment for a Gateway Determination.
|
Michael Mason
Executive Manager
Environmental Services Division
|
AT‑1View |
Planning Proposal - St Leonards Plaza |
44 Pages |
Available Electronically |
|
AT‑2View |
Report to Local Planning Panel - 7 November 2019 |
12 Pages |
|
|
AT‑3View |
ADVICE - Lane Cove Plaza use - Lane Cove Local Planning Panel - 7 November 2019 |
2 Pages |
|
Ordinary Council Meeting 18 November 2019
New Pocket Park at 552 Mowbray Road - Djanaba Nura
Subject: New Pocket Park at 552 Mowbray Road - Djanaba Nura
Record No: SU7675 - 65139/19
Division: Open Space and Urban Services Division
Author(s): Helen Haigh
Executive Summary
Council has prepared a park concept design for the new pocket park at 552 Mowbray Road. The land is sloping north south and provides the opportunity to create spaces utilising the natural topography of the site. The theme of the park is nature play and provides a space for play, solitude and small family BBQ’s.
In preparing the design, Council staff has also researched the local history and contacted the Aboriginal Heritage Office regarding a new name for the park. The name Djanaba Nura (Laughter Place) has been put forward as the new name for the pocket park. It is recommended that consultation be undertaken on the proposed design and name.
Background
552 Mowbray Road (697m2) was acquired by Council under a Voluntary Planning Agreement (VPA) to be developed as a pocket park to partially offset the loss of the Girraween Avenue park, which was part of a land swap as part of Council’s overall strategy to create the new large Mindarie Park. The Mowbray Road site was rezoned as RE1 Public Recreation in November 2019. The house was demolished in September 2019 and the site is now ready for construction to commence.
Discussion
Park Design
The pocket park is designed to cater for the immediate local community. Nearby Mindarie Park is a high use park with a range of active and passive activities. This small park will provide space for passive activities such as seating, a small area for play incorporating a nature-based theme and interactive play sculpture, and a BBQ with accessible seating at the top of the park (AT-2).
Park Naming
Councils’ Local History Librarian has conducted research on 552 Mowbray Road and surrounds. No significant history was found for the exact location, the full report is attached (AT-1). The Aboriginal Heritage Office was also contacted for a suitable name. Much of the Cammeraygal language has been lost, however the name Djanaba Nura has been suggested, which translates to Laughter Place.
To complete the naming process the Geographical Names Board (GNB) must approve the proposed name. Council will commence the process during the proposed consultation on the proposed design by submitting the proposed name for initial feedback. If suitable, the Board formally considers the proposal and if endorsed, will advertise the place name and call for submissions. This submission period is open for 1 month.
Works will commence as soon as possible after finalisation of the consultation, with hard landscaping planned to be completed by 30 June 2020.
Community Consultation
Statement of Intent
The consultation is designed to receive the community’s feedback on the proposed concept design plan. Any comments received will be reviewed and evaluated to determine whether changes should be made to the final park design.
Method
|
Level of Participation |
Consult |
Inform |
|
Form of Participation |
Open |
Open |
|
Target Audience |
Lane Cove Community |
Lane Cove Community |
|
Proposed Medium |
Notification letters to neighbouring community, Public Exhibition, Website Exhibition |
Public Exhibition, Website Exhibition,
|
|
Indicative Timing |
Nov – Jan 2020 |
Nov – Jan 2020 |
Conclusion
552 Mowbray Road will be turned into a new passive pocket park with the provision of BBQ and nature themed activity shown in the concept plan (AT - 2) to cater for the surrounding local community. Djanaba Nura is the suggested name for the new pocket park, which is subject to the official Geographical Names Board process.
|
That:-
1. Council note endorse the concept plan for the purpose of community consultation on the proposed pocket park at 552 Mowbray Road, Lane Cove;
2. Consultation be undertaken for a minimum of six (6) weeks as outlined in the Consultation Strategy outlined in the report and a further report be submitted to Council; and
3. Council commence the place naming process by submitting the new park name for 552 Mowbray Road, Lane Cove to the Geographical Names Board for consideration. |
Martin Terescenko
Executive Manager - Open Space and Urban Services
Open Space and Urban Services Division
|
AT‑1View |
552 Mowbray Road Report |
1 Page |
|
|
AT‑2View |
Djanaba Nura Concept Masterplan |
1 Page |
|
Ordinary Council Meeting 18 November 2019
New Park at 69 Longueville Road - Cammeraygal Park
Subject: New Park at 69 Longueville Road - Cammeraygal Park
Record No: SU5099 - 65197/19
Division: Open Space and Urban Services Division
Author(s): Helen Haigh
Executive Summary
The opening of The Canopy carpark will allow the current car park to be converted to a small park. Construction is to start in January 2020 with completion by 30 June 2020.
Background
69 Longueville Road was previously a car park leased by Council from the RTA, now RMS. Council was advised in early 2011 by the RTA that it was planning to auction the property. The land was originally resumed for road widening purposes and the re-alignment of Epping Road. Council considered a report about possible purchase of the site at its meeting of 7 March 2011. Council resolved to authorise the General Manager to attend the auction and purchase property up to a pre-determined amount, based on an independent valuation obtained by Council. The property was subsequently passed in at auction on 12 March 2011, with the bidding in the low one millions.
In July 2011 Council wrote to the Minister for Roads, the Hon Duncan Gay requesting the transfer of the land (69 Longueville Rd) to Council for development by Council as a ‘gateway’ park to Lane Cove. As part of the process Council’s Landscape Architect developed concept plans for the site with Aboriginal interpretation and culture as the key objective, these plans were presented to Council on 17 October 2011 and then placed on public exhibition from November 2011 to February 2012.
The request of assistance from the Minister of Roads, the Honorable Duncan Gay, was successful and the land was subsequently offered for sale to Council in 2012. Council along with the owners of 71 Longueville Road funded the purchase of the land in July 2014. A condition of the sale required Council to turn it into a recreation/open space area and parkland by December 2019 to allow its use as a car park until the planned completion of the then Rosenthal Car Park redevelopment. Discussions have taken place allowing an extension to June 2020.
To facilitate completion of the project, Council engaged a Landscape Architect in June 2019 to finalise and document the design of the park maintaining the indigenous Australian theme having regard to the initial design and results of the community consultation undertaken at the time.
Discussion
A landscape concept package (July 2019) AT–1 and landscape construction package and technical specifications (October 2019) have been prepared for Cammeraygal Park. The design has incorporated an Aboriginal theme which is represented through a variety of materials, shapes and native plant selection. As a gateway park it offers a shady space to sit while recognising it will also be utilised as a transition point from Lane Cove Village to Epping Road. A bicycle maintenance stand with pump and work stand has been combined into a subtle side bay along the popular Epping Road cycle-way.
Construction is planned to commence in January 2020, at this time The Canopy Car Park will have opened, and the Park is due for completion by 30 June 2020.
Conclusion
It is recommended that Council adopt the concept plans for Cammeraygal Park and agree to the start date for the construction of the park.
|
That Council receive and note the report for Cameraygal Park. |
Martin Terescenko
Executive Manager - Open Space and Urban Services
Open Space and Urban Services Division
|
AT‑1View |
Cameraygal Park - Design Concept |
4 Pages |
|
Ordinary Council Meeting 18 November 2019
Single-Use Plastic Bag Reduction Program
Subject: Single-Use Plastic Bag Reduction Program
Record No: SU7238 - 64907/19
Division: Environmental Services Division
Author(s): Fiona McCleary
Executive Summary
At the Council Meeting on 17 June 2019, Council resolved to implement a single-use plastic bag reduction program to help businesses transition from unsustainable, disposable, single-use bags to reusable and durable alternatives.
The program was implemented in September and October 2019 in partnership with Macquarie University’s Student Consultancy Program. Environmentally friendly bags were purchased via the Sustainability Levy to the value of $3,460. Four hundred (400) bags were provided to twenty-four (24) food outlets and accompanied with an awareness and education campaign to encourage the phase out of single-use plastic bags.
As a result of the program, 33% of businesses committed to ceased using single-use plastic bags.
Background
Council at its meeting on 17 June 2019 resolved that: -
“A report outlining the results of the single use plastic bag reduction program be presented to Council for the November 2019 meeting.
The plastic bag reduction program began with a survey exploring bag usage patterns in one hundred and four (104) local food businesses. After analysing the survey results, sixty-five (65) food businesses were eligible to participate. Of these businesses;
· Twenty-four (24) businesses chose to participate in the trial
· Fifteen (15) businesses did not wish to participate in the trial
· Twenty-six (26) businesses did not use plastic bags
Twenty-four (24) businesses were provided with four hundred (400) trial samples of either paper bags or corn-starch bags, depending on what was most appropriate for their needs.
The bags were chosen as environmentally friendly alternatives to plastic bags due to their recyclable, reusable and bio-degradable properties.
Discussion
The trial period lasted three weeks. A post-trial survey was conducted to assess the effectiveness of the campaign in assisting food outlets to transition from single-use plastic bags.
Every participating food outlet completed the post-trial survey.
Of these businesses:
· 33% ceased using single-use plastic bags and are now providing more sustainable alternatives
· 67% are yet to decide on whether they would make the permanent transition to more sustainable bags.
Overall, the plastic bag reduction program was well received, with comments from business owners including:
“We loved the project as it was a good starting point for our transition to sustainable bags. We will not go back to plastic bags”. (Sushi Square)
“We loved the bags and the quality was very good. We are now very interested in further sustainable products. To Lane Cove Council: "Keep up the good work"!” (The Junction)
“We started to rethink our packaging”. (Kasina Eatery)
Fifteen (15) customers were surveyed about the transition to eco-bags and 84% were either very positive, or positive, about the change.
Where businesses did not transition to eco-bags the main concerns prohibiting the change were costs and durability.
To further support the transition, all food outlets have been provided with: -
· A Lane Cove is on a Plastic Bag Diet poster to display in their business (AT-1) and;
· An infographic to Skip the Plastic (AT-2)
· A Sustainable Supplier Guide which provides an independent summary of different eco-bag options and suppliers (AT-3)
Conclusion
Council responded to growing community concern over single-use plastics and effectively engaged local food outlets with proactive action that provided alternatives with the aim of aligning their practices with community expectations. The program has assisted local businesses with a transition to more sustainable bags by providing free trial bags as well as a catalogue outlining benefits of using eco bags, and a range of suppliers where they can be purchased.
The Lane Cove is on a Plastic Bag Diet and Skip the Plastic infographic connected environmentally concerned customers to businesses that are improving their environmental performance by transitioning away from single-use plastic bags.
|
That the report be received and noted.
|
Michael Mason
Executive Manager
Environmental Services Division
|
AT‑1View |
Lane Cove is on a Plastic Bag Diet |
1 Page |
|
|
AT‑2View |
Skip the Plastic Infographic |
1 Page |
|
|
AT‑3View |
Sustainable Supplier Guide |
7 Pages |
|
Ordinary Council Meeting 18 November 2019
Customer Experience Strategy
Subject: Customer Experience Strategy
Record No: SU7520 - 67499/19
Division: Corporate Services Division
Author(s): Jessica Quilty
Executive Summary
The draft Customer Experience Strategy (CES) has been developed to integrate traditional aspects of customer service with a clearly defined pathway for new initiatives that will improve the overall customer experience with Council. The intent is to align every point of contact, process improvement and enhancement in technology in a clearly defined roadmap that will achieve a great customer experience. The CES was discussed at a Councillor workshop held on the 16 October 2019 where clarification was sort on Council's outbound strategy, review of Council's website, additional methods of communication and better utilization of social media. These matters were clarified and the CES is now presented to Council for adoption.
Background
Council considered a post consultation report at its meeting held on the 16 September 2019 where it resolved to:
1. Note the post consultation report for the Customer Experience Strategy.
2. Address the following matters in a Councillor Workshop:
a) Council has been successfully taking inbound enquires via a mixed media. The next phase of this program is an outbound Strategy to push information to the community. The workshop investigate methods in which Council can take a proactive approach to informing the community of items to reduce the volume of inbound queries. For example, emergency works, oval closures etc.
b) Review the recommended timeline to upgrade Council’s main website and identify sources of funding that would be able to prioritise this project to commence in the next 12 months.
c) Identify additional methods of communication that can be included in the Customer Experience Strategy to enhance Council’s interaction with residents.
d) Identify how Council’s chosen social media channels can be better utilised to support the Customer Experience Strategy.
3. Present a final report to Council by December 2019 or earlier to finalise and adopt Council’s Customer Experience Strategy.
Discussion
Many of the points raised in Council’s resolution relate to Council’s overall communication strategy are tools/options to be considered in the implementation of the CES. To ensure customers receive the best communication and service the strategy requires, a customer journey map is completed on individual service types. A customer journey is the complete sum of experiences that customers go through when interacting with a company or brand. Instead of looking at just part of a transaction or experience, the customer journey documents the full experience of being a customer. From this mapping, specific customer communication and engagement methods are identified as well as system development and staff training. All this is then filtered back to make up part of the overarching Customer Experience Strategy (mainly through the key actions on pages 22 & 23). Council commenced journey mapping in 2018 and this has proven to be a useful tool to gain insights into common customer pain points, how Council can improve the customer experience, and define what customers, and prospective customers, need in order to complete a 'purchase'. Council intends to undertake journey mapping for all its services.

Figure 1: Service request lifecyle
As part of developing the CES, Council staff developed a vision statement of providing ‘surprisingly simple’ services to the community which ultimately represents the avoidance of complex and bureaucratic process for customers in order to engage with Council. Creating strong, positive experiences within the customer journey will result in improvements to the bottom line by improving performance throughout the journey at multiple touch points.
Council for some time has been considering making various layout and search query changes to the website. These changes are due for completion the next couple of weeks.
Conclusion
The ultimate goal of the Strategy is to improve service quality, promote transparent and efficient interaction, enhance the level of public trust in government, and drive better community outcomes.
|
That Council adopt the Draft Customer Experience Strategy dated November 2019 as attached at AT-1.
|
Jessica Quilty
Acting Executive Manager
Corporate Services Division
|
AT‑1View |
Draft Customer Experience Strategy |
28 Pages |
|
Ordinary Council Meeting 18 November 2019
Delivery Program and Operational Plan - First Quarter Review
Subject: Delivery Program and Operational Plan - First Quarter Review
Record No: SU1466 - 67544/19
Division: Corporate Services Division
Author(s): Jessica Quilty
Executive Summary
This report outlines the 1st Quarter progress towards achieving the projects listed in the adopted 2019-2020 Delivery Program and Operational Plan. It is recommended that the report be received and noted.
Discussion
Council’s adopted 2019 – 2020 Delivery Program and Operational Plan details the projects proposed to be undertaken during the financial year in order to meet the goals and objectives of Community Strategic Plan, “Liveable Lane Cove: 2035”. Council reports quarterly on the progress towards completing the projects and achieving the targets for the adopted performance measurements. The 1st Quarter Review of the 2019 – 2020 Delivery Program and Operational Plan is shown attached as AT-1.
The projects in the Quarterly Review are listed by the responsible Council Division and where the project has a completion date the ‘Action Status’ column graphically demonstrates the progress towards completion. The Review also includes a comment on the status of each project.
The Quarterly Review also provides a report on progress towards achieving the targets set for performance measurement for each Division of Council. A cumulative figure for performance measurement is shown so that performance can be tracked each quarter towards achieving the required target.
The highlights of the projects either commenced or completed for the 1st quarter include:-
· Presentation of Financial Assistance Grants to 28 Community Groups for 2019/20 (August);
· Celebrating the launch of the Lane Cove Festival (August);
· Lane Cove Annual Art Awards presented (August);
· Opening of a 45 spaces temporary car park at The Canopy (September);
· Adoption of the 2019 Bicycle Plan (September);
· Hosting the Big Family Fun Run event (September);
· Facilitating Sustainability Lane as part of the Rotary Fair (September);
· Hosting the Annual Garden Competition (September), and;
· Exhibition of Council’s draft Customer Experience Strategy and implementation of Customer Journey mapping to improve the quality of customer experiences with Council (September).
|
That the 1st Quarter Review of the 2019-2020 Delivery Program and Operational Plan be received and noted. |
Jessica Quilty
Acting Executive Manager
Corporate Services Division
Craig Wrightson
General Manager
General Managers Unit
|
AT‑1View |
DRAFT First Quarter - Delivery Program and Operational Plan 2019 - 2020 |
73 Pages |
Available Electronically |
Ordinary Council Meeting 18 November 2019
1st Quarter Review of the 2019 - 2020 Budget
Subject: 1st Quarter Review of the 2019 - 2020 Budget
Record No: SU757 - 67627/19
Division: Corporate Services Division
Author(s): Sarah Seaman
Executive Summary
The First Quarter 2019 - 2020 Budget Review involves a variety of variations in both income and expenditure. It is recommended that the Budget be varied in terms of the report.
Background
Council is required to prepare a Budget Review Statement each quarter, in accordance with Clause 203 of the Local Government (General) Regulation 2005. This report is prepared in accordance with the clause for the period ending 30 September 2019. The Office of Local Government has issued a prescribed format for reviews which is included as an attachment to this report. The purpose of these reviews is to ensure that the impacts of financial variations are reflected in the forecast of Council’s global budgetary position to 30 June 2020, and the adopted Budget adjusted accordingly.
Discussion
The following is a summary of Council’s adopted Budget for 2019 - 2020 and the revised Budget following the adjustments included in this report:-
|
|
Original Budget (000’s) |
Adjustments (000’s) |
Revised Budget (000’s) |
|
Expenditure - Operating |
$46,241 |
$214 |
$46,455 |
|
Income - Operating |
$61,467 |
$1,099 |
$62,566 |
|
Surplus/ (Deficit) |
$15,226 |
$885 |
$16,111 |
|
Surplus/(Deficit) before Capital Grants/Contributions |
$470 |
$885 |
$372 |
Summary of Budget Movements
- Increase in Materials and Contracts $180k which predominately relate to unexpended being carried forward which is made up of:
o $103K Unbudgeted grants;
§ $27K Local History Grant
§ $13K Cultural Contributions Cameravgal
§ $15K Rotary Club Lane Cove Challenge
§ $48K Bushland
o $72K Increased Software Maintenance Fees for Councils Asset Management System and GIS system
o $5K minor budget adjustments from additional grants received and additional consultants for CRM Management
- Increase in Other Expenses of $34K which relate to the increasing insurance claim costs.
- Increase in Rates and annual Charges of $114K which relates to supplementary rates from the completion of new development.
- Increase in Operating Grants & Contributions of $2k which is from two small grants that have been obtained by Kindy Cove and the Library.
- Increase in Capital Grants and Contributions of $983K which relates to expected insurance money being received for the 12ft Skiff boatshed $925K and additional Roads to Recovery grant received $58k.
- Increase Capital Expenditure of $2,166K which predominately relate to unexpended grants being carried forward, golf course development and insurance costs to be incurred for the boat lockers
o $621K Unexpended Grants
§ $50K Library Development
§ $23K Carisbrook Cistern
§ $47K Epping Rd/Centennial Avenue
§ $50K Heritage Kingsford Smith Amenities
§ $451K Tantallon Oval Upgrade
o $925K Boat Lockers
o $500K Recreation Precinct Planning
o $5k Library books specialised budget
o $58K Roads to Recovery
|
That the 2019 -2020 Budget be varied as follows:-
|
Jessica Quilty
Acting Executive Manager
Corporate Services Division
|
AT‑1View |
Budget Review for Quarter ended 30 September 2019 |
6 Pages |
|
Ordinary Council Meeting 18 November 2019
Lane Cove Council Annual Report 2018-19
Subject: Lane Cove Council Annual Report 2018-19
Record No: SU245 - 67727/19
Division: Corporate Services Division
Author(s): Jessica Quilty
Executive Summary
The Local Government Act requires all NSW councils to prepare an Annual Report for the previous financial year by 30 November each year. Lane Cove Council’s Draft Annual Report for 2018 -19 has been produced and this report recommends that Council adopt this document as the finalised Annual Report and send a copy to the Minister for Local Government as required by the Local Government Act.
Discussion
Council’s Draft Annual Report for 2018-19 is attached electronically as AT-1 and covers all of the matters listed in the Local Government Act to be addressed, in particular the financial information included in the Audited Financial Statements and the progress on achieving the projects and activities listed in the 2018-19 Operational Plan.
In order to maintain consistency amongst Council’s Corporate Planning documents, the Draft Annual Report is organised into Council’s Six Strategic Planning Themes in the same way as the Liveable Lane Cove: 2030 Plan and the annual Operational Plan. This helps to reflect Council’s achievements across the key themes rather than by Council’s internal organisational structure.
The Draft Annual Report contains an introduction by the Mayor and General Manager for this reporting period. The highlights for 2018-19 as described in their introduction has been reproduced below for the Councillors and community’s information:-
“From the vision of The Canopy and the new Mindarie Park through to socially responsible projects such as HarbourCare and a Dementia-Friendly Lane Cove, we are proud to bring you this snapshot of Council’s commitment to a Liveable Lane Cove. The first of its kind in Sydney, the new inclusive playspace at Mindarie Park was opened to the public in February 2019. The first of three stages within the park, the playspace in Lane Cove North will soon be complemented by the adjacent open space which is due to open in mid 2020.
A number of other playgrounds were also upgraded this past year including Kimberley Avenue and Billy Bryson playground (at Kingsford Smith Oval). Keen to provide a range of open space for our community, Kingsford Smith Oval now also includes a new multicourt while Blackman Park is home to a new off-leash dog park.
Works are now underway on the new outdoor pool and grandstand at Lane Cove Aquatic Centre. The 50 metre pool closed in December 2018 after an impressive 57 years of service. Plans for the new eight lane pool (one additional lane) and improved Grandstand complete with pool deck level amenities were finalised before construction started in June.
Around the corner in Rosenthal Avenue, construction continues on The Canopy Lane Cove. It has been an extremely busy year on and off-site as we put essential infrastructure in place ahead of a mid 2020 opening.
It won’t be long until the local community and businesses can take advantage of the full 500 car parking spaces and the new village green surrounded by exciting new restaurants. During this time we have been working with existing businesses to provide access to free business advice via the popular Small Business Breakfast series as well as a free Plastic Straw
Reduction program. As part of our ongoing commitment to address the issue of plastic waste, Council launched a new program called HarbourCare. A range of events were also held in July as part of the Plastic Free July campaign while an innovative Guiding Stars public art project shone a spotlight on the issue of electronic waste at Christmas. The largest ever Council-run event was held in November with Food and Wine by the River attracting over 5,000 people to Tambourine Bay Reserve as part of Festival by the River. New community events were also introduced throughout the year including a Spooky Spectacular series in the Plaza and the first ever
Toy Swaps at Lane Cove Library. Our focus on improving customer service is well underway with a Customer Journey Mapping program highlighting a number of opportunities to help simplify interactions with our residents. The first improvement rolled out was the introduction of online bookings for Council facilities. We have also provided additional opportunities for the community to connect with Council news and information via a Council-run Facebook page introduced early in 2019”.
Conclusion
The Draft Annual Report has been prepared to meet the requirements of the Local Government Act. Upon adoption of the Report, a copy will be forwarded to the Minister as required by the Act and will be publicly accessible via the Popular Documents section on Council’s website www.lanecove.nsw.gov.au.
|
That:-
1. Council adopt the Draft Annual Report at AT-1 for 2018 -19;
2. The adopted Annual Report be forwarded to the Minister for Local Government; and
3. The Annual Report be published on Council’s website.
|
Jessica Quilty
Acting Executive Manager
Corporate Services Division
|
AT‑1View |
Draft Annual Report 2018 2019 |
174 Pages |
|
Ordinary Council Meeting 18 November 2019
Schedule of Meetings 2020
Subject: Schedule of Meetings 2020
Record No: SU1915 - 67432/19
Division: Corporate Services Division
Author(s): Simon Cole
The Ordinary Council Meeting Schedule for 2020 is proposed as follows:-
|
Monday, 17 February 2020 |
|
Monday, 17 August 2020 |
|
Monday, 16 March 2020 |
|
Monday, 21 September 2020 |
|
Monday, 20 April 2020 |
|
Monday, 19 October 2020 |
|
Monday, 18 May 2020 |
|
Monday, 16 November 2020 |
|
Monday, 22 June 2020 |
|
Monday, 7 December 2020 |
|
Monday, 20 July 2020 |
|
|
There is no Council meeting in January 2020. NSW schools are back from holidays on Monday, 20th July 2020 and the dates for the LGNSW Annual Conference are from the 11th to 13th October 2020.
|
That the Council Meeting Schedule for 2020 be adopted.
|
Jessica Quilty
Acting Executive Manager
Corporate Services Division
There are no supporting documents for this report.
Ordinary Council Meeting 18 November 2019
Council Snapshot October 2019
Subject: Council Snapshot October 2019
Record No: SU220 - 67730/19
Division: General Managers Unit
Author(s): Craig Wrightson
Executive Summary
Attached for the information of Councillors is a review of Council’s recent activities. This report provides a summary of the operations of each Division for October 2019.
|
That the report be received and noted. |
Craig Wrightson
General Manager
General Managers Unit
|
AT‑1View |
Council Snapshot October 2019 |
42 Pages |
|